2 — Learning to Answer Yes/No
上节课,我们主要简述了机器学习的定义及其重要性,并用流程图的形式介绍了机器学习的整个过程:根据模型H,使用演算法A,在训练样本D上进行训练,得到最好的h,其对应的g就是我们最后需要的机器学习的模型函数,一般g接近于目标函数f。本节课将继续深入探讨机器学习问题,介绍感知机Perceptron模型,并推导课程的第一个机器学习算法:Perceptron Learning Algorithm(PLA)。
一、Perceptron Hypothesis Set
引入这样一个例子:某银行要根据用户的年龄、性别、年收入等情况来判断是否给该用户发信用卡。现在有训练样本D,即之前用户的信息和是否发了信用卡。这是一个典型的机器学习问题,我们要根据D,通过A,在H中选择最好的h,得到g,接近目标函数f,也就是根据先验知识建立是否给用户发信用卡的模型。银行用这个模型对以后用户进行判断:发信用卡(+1),不发信用卡(-1)。
在这个机器学习的整个流程中,有一个部分非常重要:就是模型选择,即Hypothesis Set。选择什么样的模型,很大程度上会影响机器学习的效果和表现。下面介绍一个简单常用的Hypothesis Set:感知机(Perceptron)。
还是刚才银行是否给用户发信用卡的例子,我们把用户的个人信息作为特征向量x,令总共有d个特征,每个特征赋予不同的权重w,表示该特征对输出(是否发信用卡)的影响有多大。那所有特征的加权和的值与一个设定的阈值threshold进行比较:大于这个阈值,输出为+1,即发信用卡;小于这个阈值,输出为-1,即不发信用卡。感知机模型,就是当特征加权和与阈值的差大于或等于0,则输出h(x)=1;当特征加权和与阈值的差小于0,则输出h(x)=-1,而我们的目的就是计算出所有权值w和阈值threshold。

为了计算方便,通常我们将阈值threshold当做
,引入一个
的量与
相乘,这样就把threshold也转变成了权值
,简化了计算。h(x)的表达式做如下变换:

为了更清晰地说明感知机模型,我们假设Perceptrons在二维平面上,即
。其中,
是平面上一条分类直线,直线一侧是正类(+1),直线另一侧是负类(-1)。权重w不同,对应于平面上不同的直线。

那么,我们所说的Perceptron,在这个模型上就是一条直线,称之为linear(binary) classifiers。注意一下,感知器线性分类不限定在二维空间中,在3D中,线性分类用平面表示,在更高维度中,线性分类用超平面表示,即只要是形如
的线性模型就都属于linear(binary) classifiers。
同时,需要注意的是,这里所说的linear(binary) classifiers是用简单的感知器模型建立的,线性分类问题还可以使用logistic regression来解决,后面将会介绍。
二、Perceptron Learning Algorithm(PLA)
根据上一部分的介绍,我们已经知道了hypothesis set由许多条直线构成。接下来,我们的目的就是如何设计一个演算法A,来选择一个最好的直线,能将平面上所有的正类和负类完全分开,也就是找到最好的g,使
。
如何找到这样一条最好的直线呢?我们可以使用逐点修正的思想,首先在平面上随意取一条直线,看看哪些点分类错误。然后开始对第一个错误点就行修正,即变换直线的位置,使这个错误点变成分类正确的点。接着,再对第二个、第三个等所有的错误分类点就行直线纠正,直到所有的点都完全分类正确了,就得到了最好的直线。这种“逐步修正”,就是PLA思想所在。

下面介绍一下PLA是怎么做的。首先随机选择一条直线进行分类。然后找到第一个分类错误的点,如果这个点表示正类,被误分为负类,即
,那表示w和x夹角大于90度,其中w是直线的法向量。所以,x被误分在直线的下侧(相对于法向量,法向量的方向即为正类所在的一侧),修正的方法就是使w和x夹角小于90度。通常做法是
,如图右上角所示,一次或多次更新后的
与x夹角小于90度,能保证x位于直线的上侧,则对误分为负类的错误点完成了直线修正。
同理,如果是误分为正类的点,即
,那表示w和x夹角小于90度,其中w是直线的法向量。所以,x被误分在直线的上侧,修正的方法就是使w和x夹角大于90度。通常做法是
,如图右下角所示,一次或多次更新后的
与x夹角大于90度,能保证x位于直线的下侧,则对误分为正类的错误点也完成了直线修正。
按照这种思想,遇到个错误点就进行修正,不断迭代。要注意一点:每次修正直线,可能使之前分类正确的点变成错误点,这是可能发生的。但是没关系,不断迭代,不断修正,最终会将所有点完全正确分类(PLA前提是线性可分的)。这种做法的思想是“知错能改”,有句话形容它:“A fault confessed is half redressed.”
实际操作中,可以一个点一个点地遍历,发现分类错误的点就进行修正,直到所有点全部分类正确。这种被称为Cyclic PLA。

下面用图解的形式来介绍PLA的修正过程:











对PLA,我们需要考虑以下两个问题:
PLA迭代一定会停下来吗?如果线性不可分怎么办?
PLA停下来的时候,是否能保证
?如果没有停下来,是否有
?
三、Guarantee of PLA
PLA什么时候会停下来呢?根据PLA的定义,当找到一条直线,能将所有平面上的点都分类正确,那么PLA就停止了。要达到这个终止条件,就必须保证D是线性可分(linear separable)。如果是非线性可分的,那么,PLA就不会停止。

对于线性可分的情况,如果有这样一条直线,能够将正类和负类完全分开,令这时候的目标权重为
,则对每个点,必然满足
,即对任一点:

PLA会对每次错误的点进行修正,更新权重
的值,如果
与
越来越接近,数学运算上就是内积越大,那表示
是在接近目标权重
,证明PLA是有学习效果的。所以,我们来计算
与
的内积:

从推导可以看出,
与
的内积跟
与
的内积相比更大了。似乎说明了
更接近
,但是内积更大,可能是向量长度更大了,不一定是向量间角度更小。所以,下一步,我们还需要证明
与
向量长度的关系:

只会在分类错误的情况下更新,最终得到的
相比
的增量值不超过
。也就是说,
的增长被限制了,
与
向量长度不会差别太大!
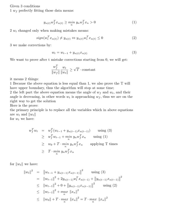
如果令初始权值
,那么经过T次错误修正后,有如下结论:
下面贴出来该结论的具体推导过程:


上述不等式左边其实是
与
夹角的余弦值,随着T增大,该余弦值越来越接近1,即
与
越来越接近。同时,需要注意的是,
,也就是说,迭代次数T是有上界的。根据以上证明,我们最终得到的结论是:
与
的是随着迭代次数增加,逐渐接近的。而且,PLA最终会停下来(因为T有上界),实现对线性可分的数据集完全分类。
四、Non-Separable Data
上一部分,我们证明了线性可分的情况下,PLA是可以停下来并正确分类的,但对于非线性可分的情况,
实际上并不存在,那么之前的推导并不成立,PLA不一定会停下来。所以,PLA虽然实现简单,但也有缺点:

对于非线性可分的情况,我们可以把它当成是数据集D中掺杂了一下noise,事实上,大多数情况下我们遇到的D,都或多或少地掺杂了noise。这时,机器学习流程是这样的:

在非线性情况下,我们可以把条件放松,即不苛求每个点都分类正确,而是容忍有错误点,取错误点的个数最少时的权重w:

事实证明,上面的解是NP-hard问题,难以求解。然而,我们可以对在线性可分类型中表现很好的PLA做个修改,把它应用到非线性可分类型中,获得近似最好的g。
修改后的PLA称为Packet Algorithm。它的算法流程与PLA基本类似,首先初始化权重
,计算出在这条初始化的直线中,分类错误点的个数。然后对错误点进行修正,更新w,得到一条新的直线,在计算其对应的分类错误的点的个数,并与之前错误点个数比较,取个数较小的直线作为我们当前选择的分类直线。之后,再经过n次迭代,不断比较当前分类错误点个数与之前最少的错误点个数比较,选择最小的值保存。直到迭代次数完成后,选取个数最少的直线对应的w,即为我们最终想要得到的权重值。

如何判断数据集D是不是线性可分?对于二维数据来说,通常还是通过肉眼观察来判断的。一般情况下,Pocket Algorithm要比PLA速度慢一些。
五、总结
本节课主要介绍了线性感知机模型,以及解决这类感知机分类问题的简单算法:PLA。我们详细证明了对于线性可分问题,PLA可以停下来并实现完全正确分类。对于不是线性可分的问题,可以使用PLA的修正算法Pocket Algorithm来解决。
注明:
文章中所有的图片均来自台湾大学林轩田《机器学习基石》课程。
?如果没有停下来,是否有
?